您好,欢迎进入xk星空体育直播平台官方网站!

与时俱进,诚赢客户

龙门吊、提梁机、星空体育官方账号生产厂家

服务电话:13782575673

技术资料

您现在所在位置:首页>>技术资料>>关于欧式起重机吊钩组的介绍

关于欧式起重机吊钩组的介绍

本文链接://m.xlhydra.com/jszc/507.html   发布时间:2021-02-27 02:29:30  点击量:1412

  欧式吊钩组的特点

  传统pc星空游戏下载的吊钩组是*常见的一种取物装置,由吊钩、吊钩螺母、推力轴承、动滑轮、动滑轮轴承、吊钩轭板等零件组成。分为短钩型和长钩型吊钩组,动滑轮排列在一根轴线上,结构空间较大,重量较重。

  欧式起重机吊钩组和传统吊钩组有所不同,**是材质的不同,一般吊钩的材料是DG20和DG20Mn,欧式吊钩的材料推荐采用不低于DG34CrMo专用材料。其次是结构型式的不同,欧式吊钩组的动滑轮等分排列在平行的两根轴线上(图2-25),其动滑轮数量比定滑轮要多2个滑轮。吊钩处在两组滑轮(图2-26)之间,并在两边颚板的中线靠下部位与吊钩横梁连接。充分利用吊钩组的局部空间,使欧式吊钩组有外观轻巧和体积小的特点。其钢丝绳分支数限于偶数,重量较同等吨位吊钩组,一般要轻1/2左右的重量。

  1、欧式吊钩组的构成

  欧式吊钩组(图2-27)由动滑轮、隔套、滑轮轴、滑轮轴卡板、吊钩轭板、挡绳轴、吊钩螺母、推力轴承、吊钩横梁、横梁卡板、吊钩、防脱钩装置、轴端盖、轴端挡盖、挡圈、钢丝绳挡板、吊钩螺母定位板、连接架等组成,一般为短钩型吊钩组。

  1—动滑轮;2—隔套;3—滑轮轴;4—滑轮轴卡板;5—轭板;6—挡绳轴;7—吊钩螺母;8—推力轴承;9—吊钩横梁;10—横梁卡板;11—吊钩;12—防脱钩装置;13—连接架

  欧式吊钩分为单钩和双钩,行业传统对吊钩是按吨位来划分的,50t以下的吊钩一般为单钩,50t以上的吊钩有单、双钩两种型式。从《起重机设计规范》(GB 3811—83)开始就已经按钩号表示,和传统吊钩一样,钩身的截面型状有圆形、矩形、梯形、T字形等,其中T字形截面*合理,但工艺复杂。圆形截面用于小吨位吊钩,一般吊钩都是带圆弧角的梯形截面。

  欧式吊钩常用模锻制造,钩的头部具有直柄螺纹,由吊钩螺母通过推力轴承旋转压紧,使吊钩能绕吊钩中心轴自由转动。为了防止钢丝绳自动脱钩,可在吊钩上加装**防脱钩装置(图2-27和图2-28)。

  2、欧式吊钩的强度等级

  吊钩按材料的机械性能分为5个强度等级,欧式吊钩比传统吊钩的强度等级要高,一般选取不小于T级强度等级的材料。


表2-3吊钩的强度等级
表2-3吊钩的强度等级

  3、欧式吊钩组的相关附件计算

  吊钩的计算较复杂,和传统的吊钩计算一样,欧式吊钩组的附件和传统的有些差别。

  4、吊钩横梁的计算

  在图2-29中,中间截面A-A的*大弯曲应力为:

图2-29


图2-29-1

  式中 [σbj]——工作时有相对转动,取 ? ,中小起重量取小值,大起重量取大值;工作时无相对转动,取 ? ,中小起重量取小值,大起重量取大值。

  5、滑轮轴的计算

  根据轭板在滑轮轴上的位置,作出滑轮轴的弯矩图(图2-30),图中S为每个滑轮上钢丝绳拉力的合力,*大弯曲应力为:


图2-29吊钩横梁计算公式
图2-29吊钩横梁计算公式

图2-29吊钩横梁计算公式

  式中 假设(n-1)个滑轮在钢丝绳拉力位置等分滑轮轴;

  M——滑轮轴上的某点弯矩,Mmax为滑轮轴上的*大弯矩;

  W——滑轮轴上的抗弯截面系数;

  S——每个滑轮上钢丝绳拉力的合力;

  L——吊钩轭板之间的距离。

图2-30滑轮轴的弯矩计算简图
图2-30滑轮轴的弯矩计算简图

  6、轭板的计算

  在图2-31中,轭板上有吊钩横梁轴孔的水平截面A-A和垂直截面B-B为危险截面;还有滑轮轴的垂直截面为危险截面。

  吊钩横梁轴孔水平截面A-A的内侧孔边上*大拉应力为:

吊钩横梁轴孔水平截面A-A的内侧孔边上*大拉应力

  式中 aj——应力集中系数,见图2-32。

  吊钩横梁轴孔垂直截面B-B的内侧孔边上*大拉应力(剪力)为:

图2-32应力集中系数aj值
图2-32应力集中系数aj值

图2-32应力集中系数aj值1

  轴孔处的平均挤压应力为:

轴孔处的平均挤压应力

  式中[σbj]与式(2-2)中相同。

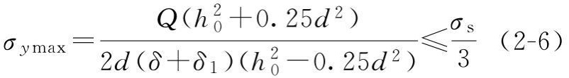
  滑轮轴的垂直截面*大拉应力(剪力)为:

滑轮轴的垂直截面*大拉应力

  7、欧式吊钩的标记

  欧式吊钩和一般吊钩的标记一样,其使用直柄单钩的标记方式。

  例如,钩号08,强度等级为T带凸耳模锻的欧式直柄单钩的标记为:直柄单钩LMD08-T-GB 10051.5。

文章聚合页面:

技术资料

联系我们

CONTACT US

联系人:徐经理

手机:13782575673

电话:0373-8611375

邮箱:hnzyaqqz@126.com

官网:m.xlhydra.com

地址:河南长垣起重工业园区华豫大道中段

Baidu
map