您好,欢迎进入xk星空体育直播平台官方网站!

与时俱进,诚赢客户

龙门吊、提梁机、星空体育官方账号生产厂家

服务电话:13782575673

龙门吊百科

您现在所在位置:首页>>起重资讯>>龙门吊百科

龙门吊大车端梁的连接梁设计计算

本文链接://m.xlhydra.com/gsxw/539.html   发布时间:2021-03-18 06:46:17  点击量:1439

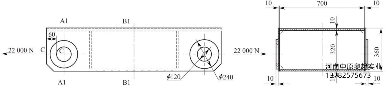
  根据前面的计算和连接梁的设计可得以下参数(图4-58)。

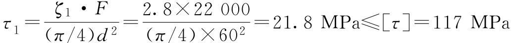
  t1=10mm;t2=10mm;t3=10mm;t4=10mm;b=700mm;h=320mm;H=360mm;F=22000N;d=60mm;D=120mm;ζ1取2.8;ζ2取1.8;ζ3取1.5;ζ4取1.8;m=60mm;?。

图4-58例2连接梁示意图(单位:mm)

图4-58例2连接梁示意图(单位:mm)

  连接轴符合要求。


  连接梁符合要求。

  (4)大车运行机构设计计算

  ①大车“三合一”减速器选型计算

  a.大车摩擦阻力计算

  b.大车坡道阻力的计算

  坡度角αsinα=0.001

  坡道阻力Fp=(Q主+G)×sinα=(3000000+1960000)×0.001=4960N

  c.大车运行静阻力的计算

  Fj=Fm+Fp=42400+4960=47360N

  d.大车运行静功率计算

  PN=kd·Pj=1.2×8.4=10.1kW

  e.大车运行静阻力矩的计算

  MP1=Fj×R=47360×0.250=11.8kN·m

  式中 R——大车车轮的半径(m),R=D/2。

  大车满载直线运行产生的惯性力矩:加速度取0.08

  MH=MP1+Mg1=11.8+15.2=27kN·m

  大车为四角驱动型式,使用四个减速器驱动,1个齿轮箱应承载MH/4=6.750kN·m。

  Na=V/3.14×D=25.5

  f.大车减速器选型

  选取恒星科技国内品牌“三合一”K系列减速器:功率11kW;fb=2.0;i=54.99;n=27;Ma=3950N·m。

  Ma×fb=3950×2.0=7900N·m>MH/4=6750N·m。

  所选减速器符合要求。

  ②大车轮压计算

  根据本例前面计算P大1/2=P0max=9.69×105/2=484.5kN;取Pmax=490kN。

  ③大车车轮设计计算

  参考同类低净空起重机,初选大车车轮直径D=500mm,


  Pmin取P2min/2和P2min/2的小值,Pmin=147.5/2=73.75(kN);Pmax=490kN。

  大车轨道选QU100,车轮有效接触宽度?

  车轮材料选DG42CrMo取σb=1080N/mm2,许用轮压比k=8.5。

  允许轮压PL=kDlC=8.5×500×89.33×1.03×1=391.0kN。

  疲劳强度校核:Pmean≤PL满足要求。

  静强度校核:490(kN)=Pmax≤1.9kDl=1.9×8.5×500×89.33=721.3kN

  车轮满足要求。

  ④大车缓冲器选型计算

  选某国内品牌聚氨酯缓冲器:YK-JHQ-C-20,缓冲容量为25.7kJ,符合要求。
  文章来源://m.xlhydra.com/gsxw/539.html

文章聚合页面:

联系我们

CONTACT US

联系人:徐经理

手机:13782575673

电话:0373-8611375

邮箱:hnzyaqqz@126.com

官网:m.xlhydra.com

地址:河南长垣起重工业园区华豫大道中段

Baidu
map