您好,欢迎进入xk星空体育直播平台官方网站!

与时俱进,诚赢客户

龙门吊、提梁机、星空体育官方账号生产厂家

服务电话:13782575673

龙门吊百科

您现在所在位置:首页>>起重资讯>>龙门吊百科

花架式龙门吊大车主梁设计计算

本文链接://m.xlhydra.com/gsxw/537.html   发布时间:2021-03-16 03:06:49  点击量:1315

  ①设计计算主梁梁高

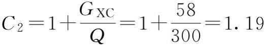
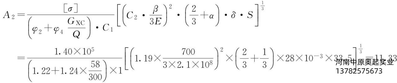
  运行冲击系数取φ4=1.24;起升冲击系数取φ2=1.22;

  截面腹板厚度初选:δ=δ1+δ2=28mm;δ1=16mm;δ2=12mm;

  采用Q235B材料,许用应力[σ]=1.40×105kN/m2;采用Q345B材料,许用应力[σ]=2.30×105kN/m2;弹性模量E=2.1×108kN/m2;许用刚度初选β=700;腹板加劲板重量比腹板重量α=1/3;

  走台栏杆轨道机械电气设备重量与主梁重量之比λ=0.2;材料比重γ=78.5kN/m3;

  C1将小车轮压转化为跨中集中力时计算弯矩的换算系数C1≈1;

  C2将小车轮压转化为跨中载荷计算挠度的换算系数

  主梁采用Q235B材料,主梁梁高计算为:


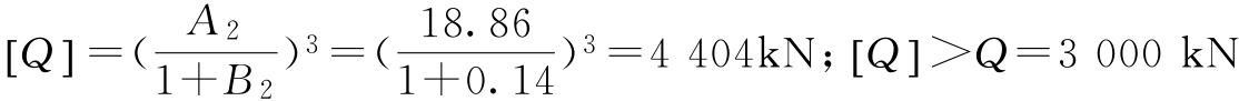
  [Q]

  根据强度控制梁高的公式计算梁高,先求出K1

  圆整取hq=3300mm。

  强度为控制条件,采用Q235材料,工作级别为A5;为了减轻主梁重量,节约材料,主梁的材料改为Q345,其梁高计算为

  刚度为控制条件。

  圆整取hg=2750。

  (3300-2750)/3100=17.7%

  由上计算可知,对A5以下级别的起重机,当强度为控制条件时,改用Q345材料可以节约钢材,减轻主梁的重量约5%~8%。

  ②初步确定主梁截面面积

  取经济梁高盖板与腹板截面积之比?,不设走台,把主梁兼做走台;上盖板δ3=24,下盖板δ4=20。

  上盖板的截面积尺寸?

  上盖板的宽度

  by=1400mm作为主腹板和副腹板之间的净宽距离。

  ③确定大车主梁承压梁的梁高

  将主梁跨端的承压梁上下盖板、主副腹板加强,厚度全部等于24mm,采用Q235-B材料,根据主梁设计计算和用户给定参数得以下数据。

  φ2=1.22;φ4=1.24;GXC=580000N;Gq=1380000N;Q=3000000N;B1=2018mm;B2=1578mm;δ1=δ2=δ3=δ4=24mm;b0=1430mm;[τ]=80MPa;Ix=14.56×109mm4。

  参考同类欧式大车主梁的承压梁高,取h1=800mm,则Sx=19987614mm3(图4-53)

  ④主梁的筋板布置

  主梁采取全偏轨梁,对腹板,当160<2750/16=172时,按高腹板局部稳定性原则,多设置几道纵向加劲杆,**道高度宜不大于500mm,其他道高度宜不大于800mm。**道设在距上盖板500mm处,第二道设在距上盖板1300mm处,第三道设在距上盖板2100mm处(图4-53)。

  当上下盖板较宽时,宜设置一道或多道纵向加劲杆。所划分出来的区格宽度c不大于50&delta;。

  b0=1400mm;&delta;3=24,&delta;4=20;b0/&delta;3=58>50,b0/&delta;4=70>50

  在上下盖板分别设置一道纵向加劲杆(图4-53)。

  ⑤对主梁进行Ⅲ类载荷组合验

  两腹板中心线间距b1=1400mm,主梁高度h0=2750mm;运行冲击系数取&phi;4=1.24;起升冲击系数取&phi;2=1.22;大车加减速a=0.1m/s2;额定起升量Q=3000000N;小车重量GXC=580000N;小车基距b=4400mm;小车跨距S=33500mm。大车半个桥架的重量Gq=565000N(主梁+走台);

  主梁走台自重均布载荷:

  均布载荷在跨中引起的*大弯矩:

  作用于一根主梁上的载荷:

  在设计小车时,得:a1=2300mm,a2=2100mm(图4-54)。

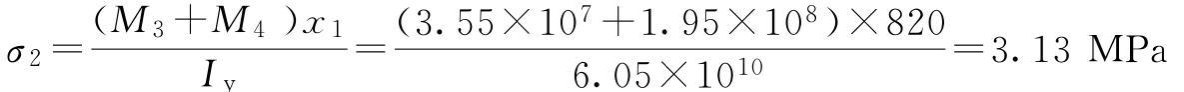
  主梁惯性矩:Ix=2.081&times;1011mm4;y1=1521mm;y2=1273mm;Iy=6.05&times;1010mm4;x1=820mm;x2=708mm;弹性模量E=2.1&times;108MPa。

  小车轮压:


图4-54例2的小车轮压分布图(单位:mm)

图4-54例2的小车轮压分布图(单位:mm)

  a.主梁垂直静挠

  垂直刚度满足设计要求。

  b.垂直平面内的应力计算

  集中力引起的跨中*大弯矩:

  垂直方向主梁跨中截面正应力:

  c、水平平面内的应力计算

  均布惯性载荷:

  均布惯性载荷跨中产生的*大弯矩:

  小车对主梁的集中惯性载荷:

  Pg=1.5(GXC+Q)&times;0.1&times;0.5&times;a=1.5&times;(58+300)&times;104&times;0.1&times;0.5&times;0.1=2.69&times;104N

  集中惯性载荷引起的跨中*大弯矩:

  水平方向主梁跨中截面正应力:

  综合应力:&sigma;=1.15(&sigma;1+&sigma;2)=1.15(137.8+3.13)=162MPa&le;230MPa

  强度满足设计要求,1.15是考虑主梁跨中的约束扭转和约束弯曲的影响。

  水平挠度:

  水平刚度满足设计要求。

文章聚合页面:

联系我们

CONTACT US

联系人:徐经理

手机:13782575673

电话:0373-8611375

邮箱:hnzyaqqz@126.com

官网:m.xlhydra.com

地址:河南长垣起重工业园区华豫大道中段

Baidu
map