您好,欢迎进入xk星空体育直播平台官方网站!

与时俱进,诚赢客户

龙门吊、提梁机、星空体育官方账号生产厂家

服务电话:13782575673

龙门吊百科

您现在所在位置:首页>>起重资讯>>龙门吊百科

龙门吊大车的端梁设计

本文链接://m.xlhydra.com/gsxw/527.html   发布时间:2021-03-11 01:18:09  点击量:1545

  相对刚性端梁结构,龙门吊的端梁只承受较小的剪力和弯矩,计算相对较简单。由两个车轮支承类似台车型式的端梁(图4-31、图4-32),端梁截面高度较小,可以考虑选用高强度材料的大车车轮,其车轮直径要减小很多。
图4-31小龙门吊大车端梁

图4-31小龙门吊大车端梁

  龙门吊分小欧式和中欧式端梁。为了增加端梁的强度、刚性和外表美观,小龙门吊推荐使用方管型钢做端梁。

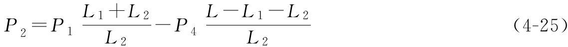
  以小龙门吊的端梁分析为例,端梁通过两块中间连接板和主梁连接(图4-33中2—2和3—3截面),为了减小端梁组装时的附加应力,推荐两块中间连接板在组装端梁时加工连接面。在端梁的设计计算时主要考虑1—1、4—4截面承受剪力,2—2、3—3截面承受弯矩和剪力的复合应力,1—1、4—4截面通过两边加贴板增强局部强度和刚性。计算的h1值除了考虑能承受剪力作用外,还需考虑车轮与端梁上盖板底面留有一定的**距离,一般留30~60mm,端梁的自重带来的应力忽略不计。




  M2=P1·L1  (4-27)

  M3=P4(L-L1-L2)  (4-28)




  式中 S——端梁支承截面半面积对水平重心轴线x-x的静矩(mm3);

  t1——端梁腹板的厚度(mm);

  t0——端梁内净宽(mm);

  P1、P2、P3、P4——端梁在截面1—1;2—2;3—3;4—4的剪力;

  M2、M3——端梁在截面2—2;3—3的弯矩;

  σ2、σ3——端梁在截面2—2;3—3的正应力;

  τ1、τ2、τ3、τ4——端梁在截面1—1;2—2;3—3;4—4的剪应力;

  [σⅠ]——第Ⅰ类载荷的许用应力。

  P1、P4的计算,参见4.4龙门吊运行机构设计。

  以上就是关于龙门吊大车的端梁设计的相关内容,如果了解更多相关内容,请持续关注我们。

文章聚合页面:

联系我们

CONTACT US

联系人:徐经理

手机:13782575673

电话:0373-8611375

邮箱:hnzyaqqz@126.com

官网:m.xlhydra.com

地址:河南长垣起重工业园区华豫大道中段

Baidu
map